![]()
LARUTAN ASAM DAN BASA
Kompetensi Dasar
3.10 Menjelaskan konsep asam dan basa serta kekuatannya dan kesetimbangan pengionannya dalam larutan
4.10 Menganalisis trayek perubahan pH beberapa indikator yang diekstrak dari bahan alam melalui percobaan
Indikator Pencapaian Kompetensi Dasar
1. Menjelaskan sifat asam basa senyawa menurut teori asam basa.
2. Menghitung konsentrasi ion H+ dan OH– dalam larutan berdasarkan kesetimbangan ion dalam larutan.
3. Menghitung derajat keasaman pH larutan asam atau basa
4. Memprediksi pH larutan asam atau basa bardasarkan indikator asam basa
Materi Pembelajaran
PETA KONSEP
1. Teori asam basa
a. Teori asam basa menurut Arheniuss
Asam adalah suatu zat yang bila dilarutkan ke dalam air akan menghasilkan ion hidrogen (H+). Asam umumnya merupakan senyawa kovalen polar yang terlarut dalam air.
Jika HaX adalah asam, maka reaksi ionisasi senyawa HaX dalam air adalah sebagai berikut:
HaX (aq) → aH+ (aq) + Xa- (aq)
Keterangan:
a : valensi asam atau jumlah ion H+ yang dihasilkan jika 1 molekul senyawa asam mengalami reaksi ionisasi.
Berikut adalah contoh senyawa yang termasuk asam dan reaksi ionisasinya dalam air.
Tabel 1.1 Beberapa contoh asam dan reaksi ionisasinya
Basa adalah suatu senyawa yang jika dilarutkan ke dalam air akan menghasilkan ion OH–.
Jika L(OH)b adalah asam, maka reaksi ionisasi senyawa L(OH)b dalam air adalah sebagai berikut:
L(OH)b (aq) → Lb+ (aq) + bOH– (aq)
Berikut adalah contoh senyawa yang termasuk basa dan reaksi ionisasinya dalam air.
Tabel 1.2. Beberapa contoh basa dan reaksi ionisasinya
b. Teori asam basa menurut Bronsted – Lowry
Teori asam basa Arrhenius tidak bisa menjelaskan sifat asam basa pada larutan yang tidak mengandung air. Kelemahan ini diatasi menggunakan teori asam basa bronsted-lowry. Teori ini bisa menjelaskan sifat asam basa larutan dengan jenis pelarut yang bermacam-macam.
Bronsted-lowry menjelaskan asam adalah spesi (ion atau molekul) yang dapat memberikan ion H+ (donor proton), sedangkan basa adalah spsesi yang dapat menerima ion H+(akseptor proton)
Berikut adalah contoh teori ini dalam menjelaskan sifat asam dan basa suatu larutan.
Dari peristiwa transfer proton tersebut maka masing-masing larutan dapat dijelaskan sifat asam dan basanya sebagai berikut:
HCl (aq) + H2O (aq) ⇌ H3O+ (aq) + Cl–(aq)
asam 1 basa 2 asam 2 basa 1
HCl bersifat asam karena memberikan ion H+ pada molekul H2O, kemudian H2O bersifat basa karena menerima ion H+ dari HCl.
Cl- adalah basa konjugasi dari HCl, berikut reaksi penjelasannya:
HCl ⇌ H+ + Cl–
asam basa konjugasi
H3O+ adalah asam konjugasi dari H2O, berikut reaksi penjelasannya:
H2O + H+ ⇌ H3O+
basa asam konjugasi
Asam dan basa konjugasi atau basa dan asam konjugasi disebut sebagai pasangan asam basa konjugasi. Garis hubung berikut menunjukkan pasangan asam basa konjugasi
c. Teori asam basa menurut Lewis
G. N. Lewis mengemukakan teori asam basa yang lebih luas dibanding kedua teori sebelumnya dengan menekankan pada pasangan elektron yang berkaitan dengan struktur dan ikatan. Menurut definisi asam basa Lewis, asam adalah senyawa yang dapat menerima pasangan elektron (akseptor pasangan elektron), sedangkan basa adalah suatu senyawa yang dapat memberikan pasangan elektron kepada senyawa lain (donor pasangan elektron ).
Sebagai contoh, reaksi antara BF3 dan NH3 merupakan reaksi asam–basa. Menurut teori ini NH3 sebagai basa dan BF3 sebagai asam BF3 sebagai asam Lewis dan NH3 sebagai basa Lewis. NH3 memberikan pasangan elektron bebasnya kepada BF3 sehingga membentuk ikatan kovalen koordinasi antara keduanya.
Kelebihan definisi asam basa Lewis adalah dapat menjelaskan reaksi-reaksi asam–basa lain dalam fase padat, gas, dan medium pelarut selain air yang tidak melibatkan transfer proton.
2. Kesetimbangan Ion dalam Larutan
1. Tetapan Kesetimbangan air
Air merupakan elektrolit lemah, karena sebagian molekul air dapat terionisasi sebagai berikut: H2O(l) ⇌ H+(aq) + OH–.(aq)
Dari reaksi tersebut harga tetapan kesetimbangan air dirumuskan sebagai berikut:
Karena konsentrasi H2O yang terionisasi menjadi H+ dan OH– sangat kecil dibandingkan dengan [H2O] mula-mula, sehingga [H2O] dapat dianggap tetap, maka harga K[H2O] juga tetap, yang disebut konstanta kesetimbangan ionisasi air atau ditulis Kw.
Berdasarkan reaksi ionisasi air, kita tahu bahwa perbandingan ion H+ dan OH–dalam air murni (larutan netral) : [H+] = [OH–] Sehingga rumusan Kw dapat ditulis sebagai berikut:
Kw = [H+] [OH–]
Kw = [H+] [H+]
Kw = [H+]2
Berikut ini merupakan harga tetapan kesetimbangan air pada suhu tertentu:
Tabel 2.1. Tabel nilai Kw pada beberapa suhu tertentu.
Berdasarkan data, air murni pada suhu 25oC mempunyai nilai Kw = 1×10–14 Dari nilai tersebut didapat nilai
10–14 = [H+]2
[H+] = 10–7 mol/L
[OH–] = 10–7 mol/L
2. Pengaruh asam dan basa terhadap kesetimbangan air
Adanya ion H+ atau OH– yang dihasilkan oleh suatu asam atau basa akan mengakibatkan terjadinya pergeseran kesetimbangan air.
H2O(l) ⇌ H+(aq) + OH–.(aq)
Sehingga dapat mempengaruhi konsentrasi ion H+ dan OH– dalam larutan tersebut.
a. Pengaruh asam
Penambahan ion H+ dari suatu asam, akan menyebabkan [H+] dalam larutan bertambah,hal ini menyebabkan kesetimbangan bergeser ke kiri dan [OH–] mengecil sehingga perbandingan ion H+ dan OH dalam larutan asam : [H+] > [OH–]
b. Pengaruh basa
Penambahan ion OH- dari suatu basa, akan menyebabkan [OH–] dalam larutan bertambah, hal ini menyebabkan kesetimbangan bergeser ke kiri dan [H+] mengecil. Hal ini menyebabkan perbandingan ion H+ dan OH– dalam larutan basa sebagai berikut: [H+] < [OH–]
3. Kekuatan asam basa
Asam dan basa merupakan zat elektrolit, sehingga asam dan basa dapat dibedakan menjadi asam kuat dan asam lemah serta basa kuat dan basa lemah
a. Kekuatan Asam
Kekuatan asam dipengaruhi oleh banyaknya ion – ion H+ yang dihasilkan oleh senyawa asam dalam larutannya. Berdasarkan banyak sedikitnya ion H+ yang dihasilkan, larutan asam dibedakan menjadi dua macam sebagai berikut.
Asam kuat
Dalam larutan asam kuat dapat menggunakan rumus sebagai berikut:
Dengan:
[H+] = konsentrasi ion H+ (mol/L atau Molar)
Ma = Molaritas asam kuat (mol/L atau Molar)
a = valensi asam kuat.
Contoh:
Berapa konsentrasi ion H+ dan ion OH– dalam larutan HCl 0,1M pada suhu 25oC?
Jawab:
[H+] = Ma × a
= 0,1×1
= 0,1 mol/L
Kw = [H+][OH–]
10–14 = 0,1 x [OH–]
[OH–] = 10–14 = 10–13 mol/L
0,1
Asam lemah
Asam lemah yaitu senyawa asam yang dalam larutannya hanya sedikit terionisasi menjadi ion- ionnya. Reaksi ionisasi asam lemah merupakan reaksi kesetimbangan.
HA(aq) ⇌ H+(aq) + A–(aq)
Mula-mula : Ma – –
Terionisasi : -Maα +Maα +Maα
Setimbang : (Ma – Maα ) Maα Maα
Jika nilai α sangat kecil (α ≪ 1), maka dapat diasumsikan nilai (1 − α) ≈ 1,
sehingga persamaan Ka untuk asam lemah dapat ditulis seperti berikut:
Jadi, untuk menghitung konsentrasi ion H+ dapat digunakan nilai Ka ataupun nilai α
Dengan :
Ka = tetapan ionisasi asam lemah.
Ma = molaritas asam lemah
α = derajat ionisasi asam lemah
Contoh
Tentukan konsentrasi ion H+ dan ion OH– dalam larutan CH3COOH 0,1 M dengan Ka CH3COOH = 10-5?
Jawab:
b. Kekuatan Basa
Kekuatan basa dipengaruhi oleh banyaknya ion – ion OH– yang dihasilkan olehsenyawa basa dalam larutannya. Berdasarkan banyak sedikitnya ion OH––yang dihasilkan, larutan basa juga dibedakan menjadi dua macam sebagai berikut:
Basa Kuat
Dalam larutan basa dapat menggunakan rumus sebagai berikut:
Dengan:
[OH–] = konsentrasi ion OH– (mol/L atau Molar)
Mb = Molaritas basa kuat (mol/L)
b = valensi basa kuat
Contoh:
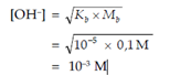
Berapa konsentrasi ion H+ dan ion OH– larutan Ca(OH)2 0,02M pada suhu 250C?
Jawab:
Basa Lemah
Basa lemah yaitu senyawa basa yang dalam larutannya hanya sedikit terionisasi menjadi ion- ionnya. Reaksi ionisasi basa lemah juga merupakan reaksi kesetimbangan.
LOH(aq)
⇌ L+(aq) + OH−(aq)
⇌ L+(aq) + OH−(aq)
Mula-mula : Mb − −
Setimbang : (a − α Mb) αMb αMb
(1 − α)Mb αMb αMb
Jika nilai α sangat kecil (α ≪ 1), maka dapat diasumsikan nilai (1 − α) ≈ 1, sehingga persamaan Kb untuk basa lemah dapat ditulis seperti berikut:
Jadi, untuk menghitung konsentrasi ion OH− dapat digunakan nilai Kb ataupun nilai α
Dengan :
Kb = tetapan ionisasi basa lemah.
Mb = molaritas basa lemah
α = derajat ionisasi basa lemah
Contoh:
Tentukan konsentrasi ion H+ dan ion OH−– dalam larutan NH3 0,1 M dengan Kb NH3 = 10-5?
Jawab :
4. Derajat Keasaman
Derajat atau tingkat keasaman larutan bergantung pada konsentrasi ion H+ dalam larutan. Semakin besar konsentrasi ion H+, semakin asam larutan tersebut.Untuk memudahkan pengukuran, maka konsentrasi ion hidrogen dinyatakan dalam pH (pangkat hidrogen). Konsep pH pertama kali diajukan oleh seorang ahli biokimia dari Denmark yaitu S.P. Sorensen pada tahun 1909. Menu rut Sorensen pH merupakan logaritma negatif dari konsentrasi ion hidrogen dan dirumuskan sebagai berikut:
Skala pH diberikan gambar berikut:
Berdasarkan Gambar 3.1 di atas, larutan asam merupakan larutan dengan pH di bawah 7. Semakin ke kiri trayek pH semakin kecil yang artinya sifat keasaman akan semakin kuat. Sedangkan, larutan netral memiliki nilai pH sama dengan 7. Larutan basa memilki nilai pH di atas 7. Semakin ke kanan trayek pH semakin besar yang artinya sifat kebasaan akan semakin kuat. Untuk mengukur derajat kebasaan dari suatu larutan basa dinyatakan dengan pOH yang dirumuskan sebagai berikut:
Sedangkan hubungan antara pH dan pOH adalah:
Kw = [H+] [OH–]
pKw = pH + pOH
Pada suhu 25 ºC, pKw = pH + pOH = 14.
Contoh:
1. Tentukan pH dari larutan H2SO4 0,005 M
Jawab:
[H+] = Ma x a
= 0,005 × 2 = 0,01 mol/L
pH = – log [H+]
= – log 0,01
= – log 10-2
= 2
2. Hitunglah pH larutan NH3 0,2 M jika harga Kb NH3 = 2 ⋅ 10-5
Jawab:
5. Indikator Asam Basa
Indikator asam basa adalah senyawa khusus yang ditambahkan pada larutan dengan tujuan mengetahui kisaran pH dari larutan tersebut. Indikator adalah asam organik lemah atau basa organik lemah. Indikator asam basa akan memberikan warna tertentu apabila direaksikan dengan larutan asam atau basa.
Beberapa indikator terbuat dari bahan alami, akan tetapi ada juga beberapa indikator yang dibuat secara sintesis di laboratorium.
a. Indikator alami
Indikator alami adalah indikator yang berasal dari tanaman. Ada beberapa jenis tanaman yang dapat menunjukkan sebagai indikator alami, seperti kulit manggis, bunga sepatu, pacar air, kol ungu, kunyit dan bunga baogenvile Bisa atau tidaknya tanaman menjadi indikator alami tergantung adanya perubahan warna bilamana ekstrak tumbuhan diteteskan pada larutan basa atau asam.
Berikut adalah tabel yang menunjukkan perubahan warna beberapa indikator alami.
Tabel 4.1. Perubahan warna indikator alami
b. Indikator sintetis
1. Kertas Lakmus
Kertas lakmus merupakan idikator yang paling sering dan praktis digunakan dalam mentukan asam dan basa.
Tabel 4.2 Perubahan warna kertas lakmus
2. Indikator universal
Indikator universal merupakan indikator yang mempunyai nilai tingkat kepercayaan yang tinggi. Indikator ini terdiri dari berbagai macam indikator dengan mengetahui warna yang berbeda pada setiap nilai pH antara 1 sampai 14. Indikator universal bisa berupa sebuah larutan dan ada yang berupa kertas. Terdapat warna standar dalam penentuan ukuran pH antara 1-14 pada indikator universal.
Berikut adalah gambar dari indikator universal kertas
Gambar 4.1 Indikator universal
Berikut ini adalah indikator universal larutan
Tabel 4.3 Perubahan warna indikator pada pH tertentu
3. pH meter
pH meter merupakan alat pengukur pH pada suatu larutan dengan cepat dan lebih akurat. Alat ini dilengkapi elektroda yang bisa dicelupkan kedalam larutan asam basa yang akan diukur nilai pH-nya. Nilai pH tersebut bisa dengan mudah di lihat secara langsung melalui angka yang ada pada layar digital alat tersebut
Gambar 4.2 pH meter
Latihan
Diketahui trayek perubahan warna indikator
Suatu larutan akan memberikan warna kuning dengan indikator metal jingga dan metal merah, serta memberikan warna biru dengan indikator BTB. Sementara itu, dengan indikator PP tidak bewarna. Perkirakan nilai pH larutan tersebut.
Jawab :
DAFTAR PUSTAKA
Sudarmo, Unggul. 2014, Kimia untuk SMA /MA kelas XI, Surakarta, Erlangga
Wiyati, Arni, S.Pd.2020, Modul Pembelajaran SMA Kimia Kelas XI,Kemendikbud
Permana Irvan, 2009. Kimia SMA/MA 2 Untuk Kelas XI Semester 1 dan 2 Program Ilmu Pengetahuan Alam, Pusat Perbukuan Departemen Pendidikan Nasional,
https://www.studiobelajar.com/larutan-asam-basa/ (diakses 12 Juni 2021)
https://www.seputarpengetahuan.co.id/2020/03/indikator-asam-basa.html (diakses 12 Juni 2021)
https://www.e-sbmptn.com/2014/01/soal-cara-menghitung-ph-dan-poh-larutan.html (diakses 12 Juni 2021)

















